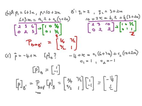
Terry Briggs Blog